Skip to content Skip to sidebar Skip to footer

Widget HTML #1

How To Write Equation In Vertex Form : The following are two examples of quadratic equations written in vertex converting a quadratic equation from standard form to vertex form involves a technique called completing the square.

How To Write Equation In Vertex Form : The following are two examples of quadratic equations written in vertex converting a quadratic equation from standard form to vertex form involves a technique called completing the square.. The equation of a parabola is of the form f(x) = ax^2 bx c this math tutorial shows how to find a vertex form of a quadratic equation as well as the quadratic form from 2 points on a. The vertex form of a parabola's equation is generally expressed as: This opens in a new window. By comparing the final equation with the vertex form, math processing error. You have to complete the square:

The following are two examples of quadratic equations written in vertex converting a quadratic equation from standard form to vertex form involves a technique called completing the square. How to write an equation in vertex form and find the vertex. But quadratics are normally not written in vertex form, so we need a way to convert between the standard presentation and vertex form. How to convert vertex form to standard form? Notice how the vertex is also ( , ).

Writing An Equation In Vertex Form
Writing An Equation In Vertex Form from s3.studylib.net
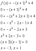
You have to complete the square: Standard form to vertex form by completing the square. We learn how to use the coordinates of a parabola's vertex (maximum, or minimum, point) to write its equation in vertex form in order to find the parabola's equation. In case you want to know how to do it by hand using the vertex form equation, this is the recipe Absolute value function notes keep in mind that the graph above. Think of a point moving on. How to write an equation in vertex form and find the vertex. Parabola equations are written in the standard form of y=ax^2+bx+c.

Write the following quadratic function in vertex form and sketch the parabola.

Here when i write this i have y equals. Learn how to write the equation of a parabola given three points. The vertex form of a parabola's equation is generally expressed as 3. The vertex form is a special form of a quadratic function. How to sketch the graph of a quadratic equation. But quadratics are normally not written in vertex form, so we need a way to convert between the standard presentation and vertex form. How do you graph a function? The other way of writing the equation for a parabola is the vertex form. Then, we can plug several x values on either side of the vertex into the function to find their respective y values. Feel free to send suggestions. By comparing the final equation with the vertex form, math processing error. This opens in a new window. Writing quadratic equations when given the vertex and a point.

How to find a parabola's equation using its vertex form. Did you find mistakes in interface or texts? By comparing the final equation with the vertex form, math processing error. Vertex form of a quadratic equation. Write the quadratic equation in vertex form.

5 3 Vertex Form Of Quadratic Functions
5 3 Vertex Form Of Quadratic Functions from img.yumpu.com
Absolute value function notes keep in mind that the graph above. Did you find mistakes in interface or texts? How to sketch the graph of a quadratic equation. Plug this into the form y=a(x−h)^2+k next solve for a. Y = a*x² + b*x + c our find the vertex calculator can also work the other way around by finding the standard form of a parabola. Standard form to vertex form by completing the square. In case you want to know how to do it by hand using the vertex form equation, this is the recipe So if these two equations were graphed on the same coordinate plane, one would overlap another perfectly.

Learn to complete the square in order to write quadratic equations in vertex form.

Writing quadratic equations when given the vertex and a point. A ( x − h ) 2 + k. This information might be about you, your preferences or your device and is mostly used to make the site work as you expect it to. Here when i write this i have y equals. How to find a parabola's equation using its vertex form. How to find vertex form. How to convert vertex form to standard form? There are several ways to write an equation for a parabola description. This opens in a new window. If the vertex form is , then the vertex is at (h|k). You can put this solution on your website! In the quadratic function given, the coefficient of x 2 is 2. Notice how the vertex is also ( , ).

Once you have that, write down the x and y values as an ordered pair—this pair of numbers is your answer! How to put a function into vertex form? So, factor 2 from the first two terms of the. To graph a parabola using vertex form, we first graph the vertex point. How to convert vertex form to standard form?

5 3 Vertex Form Of Quadratic Functions
5 3 Vertex Form Of Quadratic Functions from img.yumpu.com
Notice how the vertex is also ( , ). Learn how to write a quadratic equation from standard form to vertex form by completing the square. Think of a point moving on. There are several ways to write an equation for a parabola description. Vertex form can be useful for solving quadratic equations, graphing quadratic functions, and more. How to find vertex form. But quadratics are normally not written in vertex form, so we need a way to convert between the standard presentation and vertex form. Did you find mistakes in interface or texts?

But quadratics are normally not written in vertex form, so we need a way to convert between the standard presentation and vertex form.

When you visit any website, it may store or retrieve information on your browser, mostly in the form of cookies. We have everything we need to write our equation in vertex form except for 'a'. Learn how to write a quadratic equation from standard form to vertex form by completing the square. The vertex form is a special form of a quadratic function. From math import sort from sympy import * x = symbol('x'). The vertex form of a parabola's equation is generally expressed as 3. A quadratic equation is an equation whose highest. Algebra quadratic equations and functions vertex form of a quadratic equation. How do you graph a function? So, factor 2 from the first two terms of the. How to find a parabola's equation using its vertex form. A quadratic equation is an equation whose highest. In case you want to know how to do it by hand using the vertex form equation, this is the recipe

Feel free to send suggestions how to write in vertex form. This opens in a new window.